<--link media="screen" rel="stylesheet" type="text/css" href="https://www.bighelp.org/bhp/pub/css/fullwidth-fix.css" />

Child Details

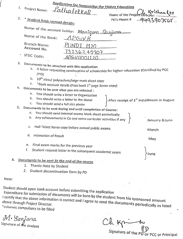
Sanjana Manigam (ID:c3393)
 
Sponsor's Details:
Sponsor's Name Start Date End Date
Venkata Suresh Alapati 01-Jun-2022 Still Sponsoring
Child Address for communication:
Mailing Address School Name & Address
C/O Mallesh Manigam
Vallabharayudipadu
Nandigam Mandal
Srikakulam Dist.
AP, India 532218
Government Of Polytechnic College
Vallabharayupadu
Nandigam Mandal
Srikakulam Dist.
AP, India 532218
Personal Details :
Date of Birth Student Status Sex Current Grade Grade On Start Dt. Medium
On File Financially very poor Female Diploma 1st Year 8 English
Guardian Name Relationship with Guardian Family Source of Income Family Annual Income (INR)
Mallesh Manigam Father Coolie 60000
Hobbies Lifetime Goal
Reading books and Playing Kho-kho To become a Collector
Milestone
Sanjana Manigam has passed 10th Grade with 559 Marks on 23-Apr-2025. She got 559 Marks out of 600
Bighelp thanks the donor  01-Jun-2022 
Bighelp thanks Venkata Suresh Alapati for kindly sponsoring the education of Sanjana Manigam.
Sponsorship has been continued  01-Jun-2023 
The sponsorship for Sanjana Manigam has been continued by Venkata Suresh Alapati
Sponsorship has been continued  01-Jun-2024 
The sponsorship for Sanjana Manigam has been continued by Venkata Suresh Alapati
Sponsorship has been continued  01-Jun-2025 
The sponsorship for Sanjana Manigam has been continued by Venkata Suresh Alapati